Nama : Yohanes Henuk
Nim : 1311023
KONVERSI WARNA
Di
dalam suatu citra terdapat banyak informasi pada warna, dan informasi tersebut
juga dapat figunakan untuk menyederhanakan analisis citra, seperti identifikasi
objek atau ekstraksi citra. Terdapat tiga macam kuatisasi yang dapat digunakan
untuk menggambarkan warna, yaitu:
§ Hue, ditentukan oleh dominan
panjang gelombang. Warna yang dapat dilihat oleh mata memmiliki panjang
gelombang antara 400nm (violet) – 700nm (red) pada spectrum elektromagnetik
seperti gambar berikut.
§ Saturation, ditentukan oleh tingkat
kemurnian, dan tergantung pada jumlah sinar putih yang tercampur dengan hue.
Suatu warna hue murni adalah secara penuh tersaturasi, yaitu tidak ada sinar
putih yang tercampur. Hue dan saturation digabungkan untuk menentukan
chromaticity suatu warna. Intensitas ditentukan oleh jumlah sinar yang diserap.
Semakin banyak sinar yang diserap maka semakin tinggi intensitas warnanya.
§ Sinar Achromatic tidak memiliki warna,
tetapi hanya ditentukan oleh atribut intensitas. Tingkat keabuan (graylevel)
adalah ukuran intensitas yang ditentukan oleh energy, sehingga merupakan suatu
kuantitas fisik. Dalam hal ini brightness atau luminance ditentukan oleh persepsi
warna.
Warna
secara utuh bergantung pada sifat pantulan (reflectance) suatu objek. Warna
yang dilihat merupakan yang dipantulkan, sedangkan yang lainnya diserap.
Sehingga sumber sinar perlu diperhitungkan, begitu pula sifat alami sistem
visual manusia ketika menangkap suatu warna.
Model
warna merupakan cara standar untuk menspesifikasikan suatu warna tertentu,
dengan mendefinisikan suatu sistem koordinat 3D, dan suatu ruang bagian yang
mengandung semua warna yang dapat dibentuk ke dalam suatu model tertentu. Suatu
warna yang dapat dispesifikasikan menggunakan suatu model akan berhubungan ke
suatu titik tunggal dalam suatu ruang bagian yang didefinisikannya.
Masing-masing warna diarahkan ke salah satu standart hardware tertentu (RGB,
CMY, YIQ), atau aplikasi pengolahan citra (HSI).
Sekarang,
mari kita kupas satu persatu mengenai jenis-jenis model warna.
1. Model RGB
Suatu
citra dalam model RGB terdiri dari tiga bidang citra yang saling lepas,
masing-masing terdiri dari warna mrah, hijau, dan biru. Suatu warna
dispesifikasikan sebagai campuran sejumlah komponen warna utama. Gambar di
samping adalah gambar yang menunjukkan bentuk geometri dari model warna RGB
untuk menspesifikasikan warna menggunakan sistem koordinat Cartesian. Spektrum
grayscale (tingkat keabuan) merupakan warna yang dibentuk dari gabungan tiga
warna utama dengan jumlah yang sama, berada pada garis yang menghubungkan titik
hitam dan putih.
Warna
direpresentasikan dalam suatu sinar tambahan untuk membentuk warna baru, dan
berhubungan untuk membentuk sinar campuran. Gambar di bawah ini menunjukkan
campuran dengan menambahkan warna utama merah, hijau, dan biru untuk membentuk
warna sekunder kuning(merah+hijau), cyan(biru+hijau), magenta(merah+biru) dan
putih (merah+hijau+biru).
2. Model CMY
Model CMY (Cyan, Magenta, Yellow) adalah suatu model substractive
yang berhubungan dengan penyerapan warna, misalnya pigment warna cat. Suatu
permukaan yang dicat warna cyan kemudian diiluminasi sinar putih, maka tidak
ada sinar merah yang dipantulkan, dan similar untuk warna magenta dengan hijau,
dan kuning dengan biru. Relasi model CMY adalah sebagai berikut:
Model
CMY biasa digunakan untuk mencetak warna, namun karena ketidaksempurnaan tinta,
CMY tidak dapat menghasilkan warna hitam. Karena itu model CMY disempurnakan
menjadi model CMYK dengan K menyatakan warna keempat dengan perhitungan
K
= min(C,M,Y)
C
= C – K
Y
= Y – K
3. Model HSI
Warna
juga dapat dispesifikasikan oleh tiga kuantisasi hue, saturation, intensity
(disebut model HSI). Gambar di atas bagian sebelah kiri merupakan bentuk solid
HIS dan di bagian sebelah kanan adalah model segitiga HIS yang merupakan bidang
datar dari pemotongan model solid HIS secara horizontal pada tingkat intensitas
tertentu. Hue ditentukan dari warna merah, saturation ditentukan berdasarkan
jarak dari sumbu. Warna pada permukaan model solid dibentuk dari saturasi
penuh, yaitu warna murni dan spectrum tingkat keabuan. Konversi nilai
antar model RGB dan HSI adalah sebagai berikut:
dimana kuantitas R, G, dan B adalah jumlah komponen warna merah,
hijau, biru, dan normalisasi ke [0,1]. Intensitas adalah nilai rata-rata
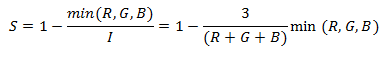
kompnen merah, hijau, dan biru. Nilai saturation ditentukan sebagai berikut:
4. Model YIQ
Model warna YIQ digunakan untuk standart televisi. Y
berkoresponden dengan luminasi, I dan Q adalah uda komponen kromatik yang
disebut inphase dan quarature. Model warna YIQ bisa didapatkan dari proses
konversi model RGB menggunaan perhitungan sebagai berikut:
Komponen luminasi (Y) berisi semua informasi yang diperlukan untuk
televise hitam putih dan menangkap persepsi mata manusia terhadapa warna
gelap-terang pada warna tertentu. Kita melihat warna hijau lebih terang
daripada warna merah, dan warna merah lebih terang dari warna biru, hal ini
ditandai dengan bobot perspektif masing-masing yaitu 0.587, 0.299, dan 0.114
pada baris pertama matriks konversi di atas. Bobot ini harus digunakan ketika
mengkonversi citra warna (RGB) menjadi citra keabuan (grayscale), jika
diinginkan persepsi tingkat kecerahan yang sama.












































